Официальное опубликование правовых актов
ОФИЦИАЛЬНОЕ ОПУБЛИКОВАНИЕ
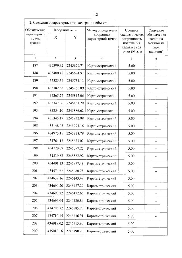
Постановление Правительства Тверской области от 16.12.2021 № 682-пп
"Об утверждении графического описания местоположения границ особо охраняемой природной территории регионального значения – памятника природы "Озеро Павловское и лесные насаждения вокруг него "
Номер опубликования: 6900202112170008
Дата опубликования: 17.12.2021
Страница №12 из 17:
Увеличить