Официальное опубликование правовых актов
ОФИЦИАЛЬНОЕ ОПУБЛИКОВАНИЕ
Постановление Правительства Тверской области от 16.12.2021 № 686-пп
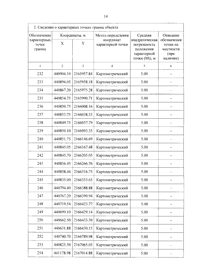
"Об утверждении графического описания местоположения границ особо охраняемой природной территории регионального значения – государственного природного заказника "Болото Красноясенское"
Номер опубликования: 6900202112170005
Дата опубликования: 17.12.2021
Страница №14 из 19:
Увеличить