Официальное опубликование правовых актов
ОФИЦИАЛЬНОЕ ОПУБЛИКОВАНИЕ
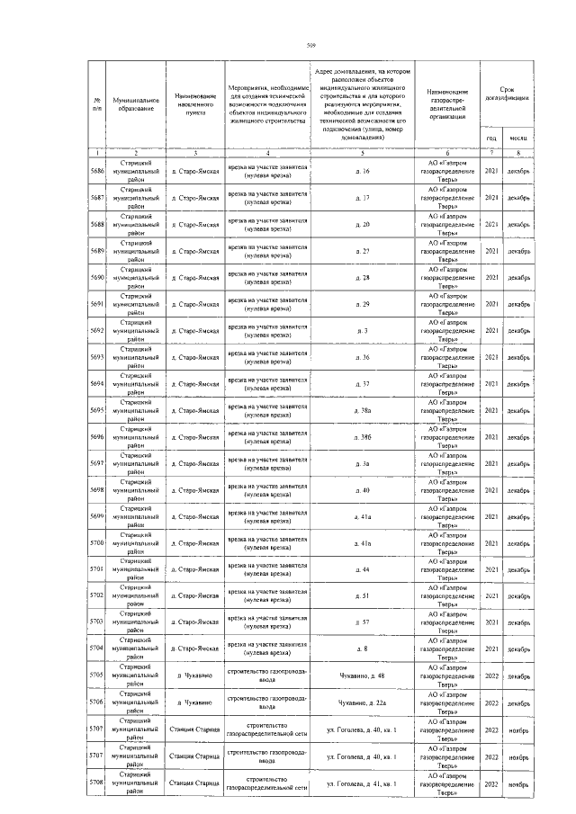
Постановление Губернатора Тверской области от 23.11.2021 № 79-пг
"О внесении изменений в постановление Губернатора Тверской области от 13.02.2020 № 10-пг"
Номер опубликования: 6900202111240003
Дата опубликования: 24.11.2021
Страница №509 из 521:
Увеличить