Официальное опубликование правовых актов
ОФИЦИАЛЬНОЕ ОПУБЛИКОВАНИЕ
Постановление Правительства Тверской области от 22.11.2021 № 621-пп
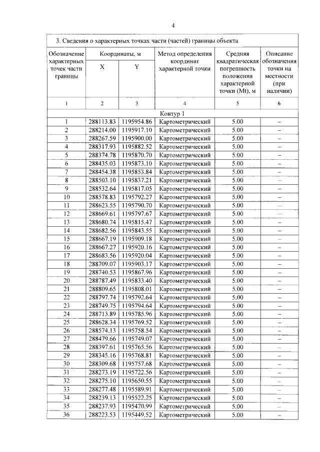
"Об утверждении графического описания местоположения границ особо охраняемой природной территории регионального значения – памятника природы "Острова на озере Наговье: Липовый, Дубов, Скурин, Деланец"
Номер опубликования: 6900202111230005
Дата опубликования: 23.11.2021
Страница №4 из 9:
Увеличить