Официальное опубликование правовых актов
ОФИЦИАЛЬНОЕ ОПУБЛИКОВАНИЕ
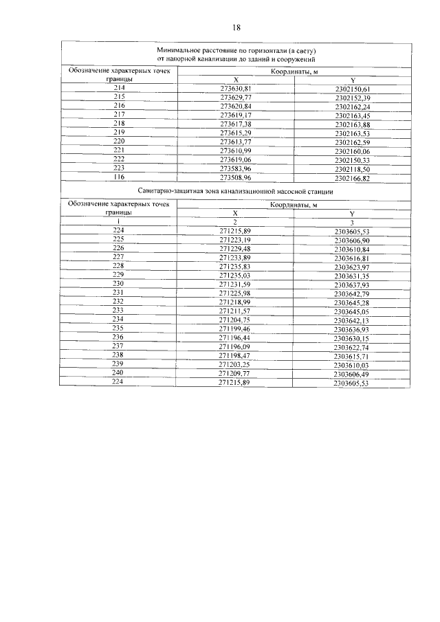
Распоряжение Правительства Тверской области от 16.11.2021 № 1105-рп
"Об утверждении документации по планировке территории линейного объекта "Реконструкция канализационных очистных сооружений в селе Городня со строительством напорной линии от поселка Радченко Конаковского муниципального района Тверской области"
Номер опубликования: 6900202111180015
Дата опубликования: 18.11.2021
Страница №18 из 37:
Увеличить