Официальное опубликование правовых актов
ОФИЦИАЛЬНОЕ ОПУБЛИКОВАНИЕ
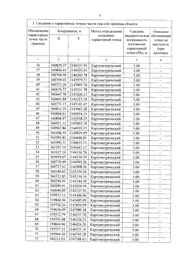
Постановление Правительства Тверской области от 15.10.2021 № 551-пп
"Об утверждении графического описания местоположения границ особо охраняемой природной территории регионального значения – государственного природного заказника "Бор Фировский"
Номер опубликования: 6900202110180026
Дата опубликования: 18.10.2021
Страница №5 из 12:
Увеличить