Постановление Правительства Тверской области от 03.08.2021 № 426-пп
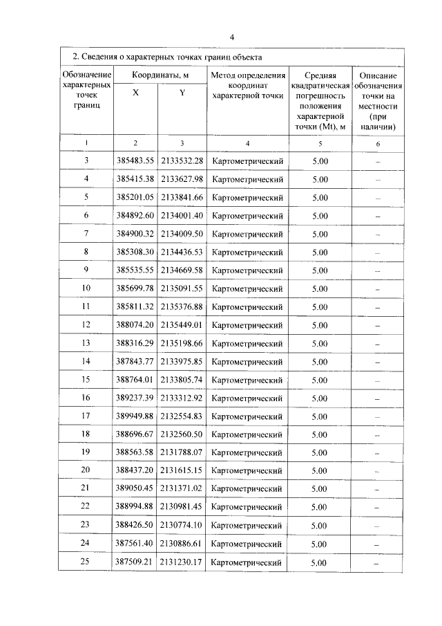
"Об утверждении графического описания местоположения границ особо охраняемой природной территории регионального значения – государственного природного заказника "Болото Бельское"
"Об утверждении графического описания местоположения границ особо охраняемой природной территории регионального значения – государственного природного заказника "Болото Бельское"
Номер опубликования: 6900202108040007
Дата опубликования:
04.08.2021
