Официальное опубликование правовых актов
ОФИЦИАЛЬНОЕ ОПУБЛИКОВАНИЕ
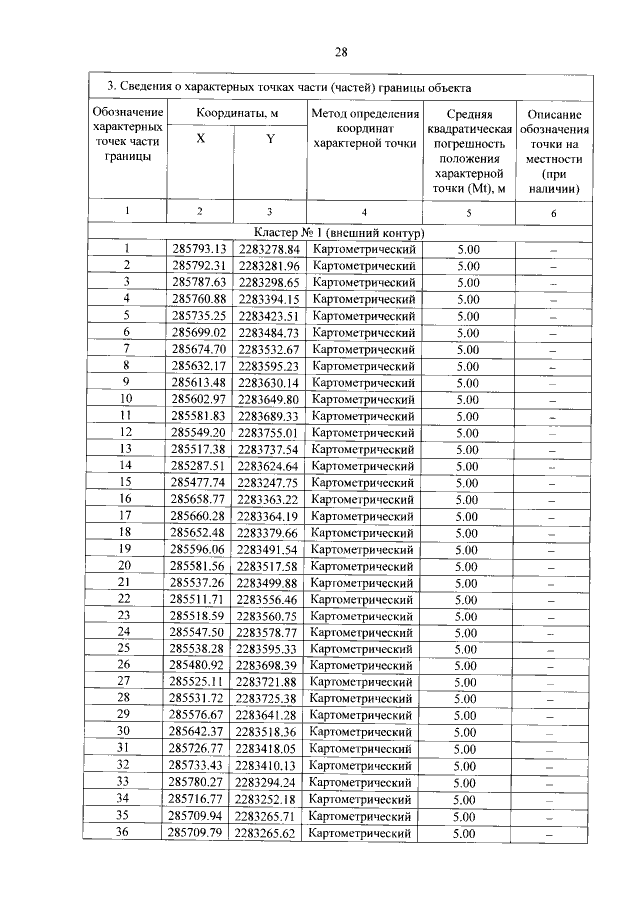
Постановление Правительства Тверской области от 30.06.2021 № 377-пп
"Об особо охраняемой природной территории регионального значения – природном парке "Тверь Заповедная"
Номер опубликования: 6900202107010007
Дата опубликования: 01.07.2021
Страница №28 из 89:
Увеличить