Официальное опубликование правовых актов
ОФИЦИАЛЬНОЕ ОПУБЛИКОВАНИЕ
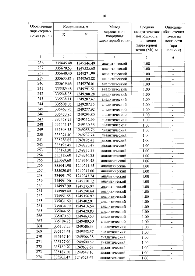
Постановление Правительства Тверской области от 30.06.2021 № 378-пп
"Об особо охраняемой природной территории регионального значения – государственном природном заказнике "Исток реки Волги"
Номер опубликования: 6900202107010006
Дата опубликования: 01.07.2021
Страница №10 из 22:
Увеличить