Постановление Правительства Тверской области от 22.06.2021 № 367-пп
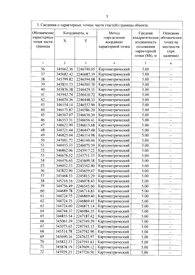
"Об утверждении графического описания местоположения границ особо охраняемой природной территории регионального значения – государственного природного заказника "Болото Гайновское"
"Об утверждении графического описания местоположения границ особо охраняемой природной территории регионального значения – государственного природного заказника "Болото Гайновское"
Номер опубликования: 6900202106230013
Дата опубликования:
23.06.2021
