Официальное опубликование правовых актов
ОФИЦИАЛЬНОЕ ОПУБЛИКОВАНИЕ
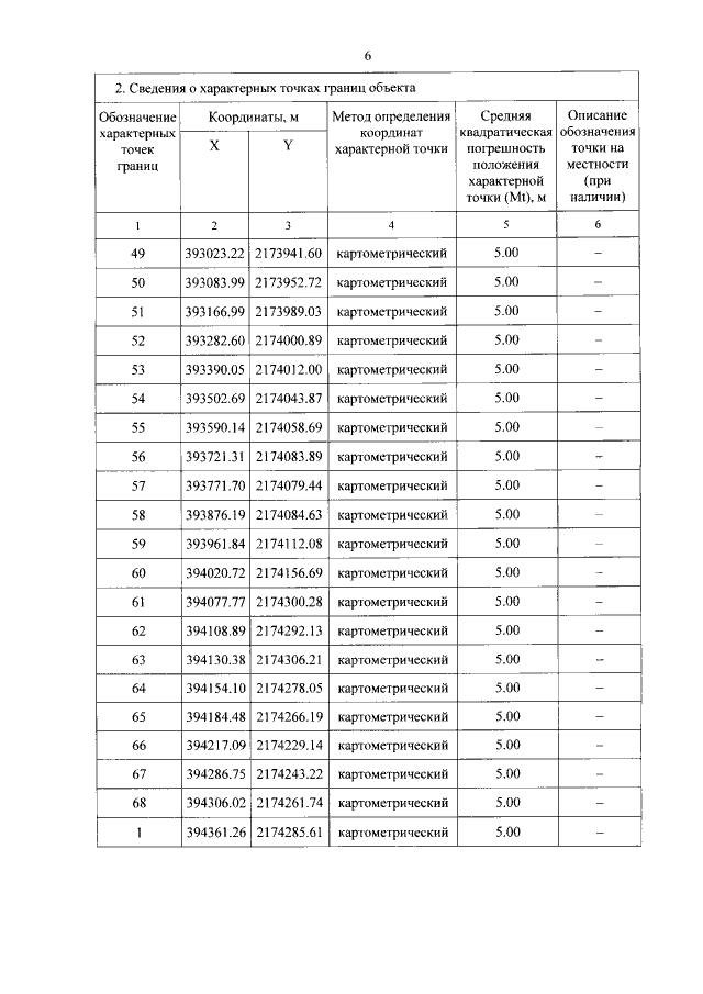
Постановление Правительства Тверской области от 15.06.2021 № 344-пп
"Об утверждении графического описания местоположения границ особо охраняемой природной территории регионального значения – памятника природы "Лес вокруг озера Лобынок"
Номер опубликования: 6900202106160009
Дата опубликования: 16.06.2021
Страница №6 из 9:
Увеличить