Официальное опубликование правовых актов
ОФИЦИАЛЬНОЕ ОПУБЛИКОВАНИЕ
Постановление Правительства Тверской области от 15.06.2021 № 346-пп
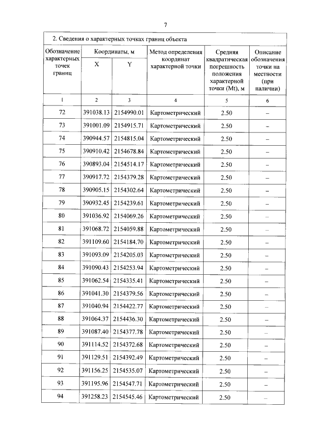
"Об утверждении графического описания местоположения границ особо охраняемой природной территории регионального значения – памятника природы "Куженкинский бор"
Номер опубликования: 6900202106160008
Дата опубликования: 16.06.2021
Страница №7 из 10:
Увеличить