Официальное опубликование правовых актов
ОФИЦИАЛЬНОЕ ОПУБЛИКОВАНИЕ
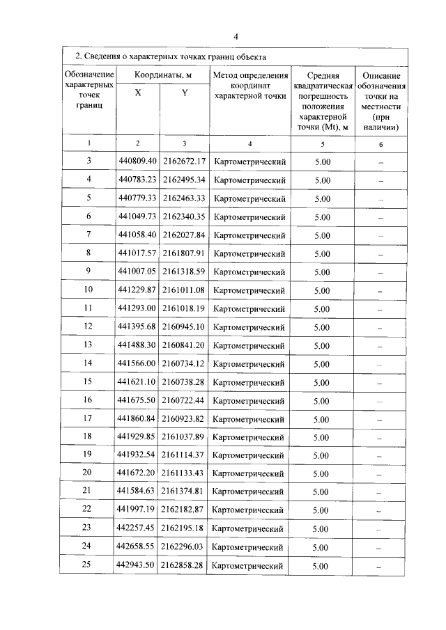
Постановление Правительства Тверской области от 15.06.2021 № 348-пп
"Об утверждении графического описания местоположения границ особо охраняемой природной территории регионального значения – памятника природы "Лес вокруг озера Конопелиц"
Номер опубликования: 6900202106160007
Дата опубликования: 16.06.2021
Страница №4 из 7:
Увеличить