Официальное опубликование правовых актов
ОФИЦИАЛЬНОЕ ОПУБЛИКОВАНИЕ
Постановление Правительства Тверской области от 15.06.2021 № 342-пп
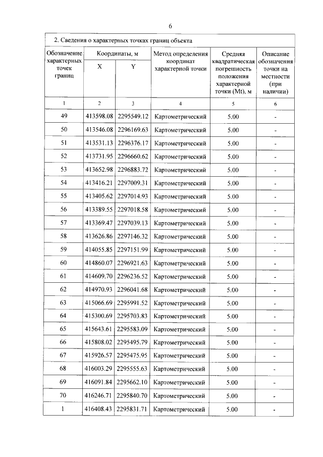
"Об утверждении графического описания местоположения границ особо охраняемой природной территории регионального значения – государственного природного заказника "Болото Буденовское"
Номер опубликования: 6900202106160002
Дата опубликования: 16.06.2021
Страница №6 из 8:
Увеличить