Официальное опубликование правовых актов
ОФИЦИАЛЬНОЕ ОПУБЛИКОВАНИЕ
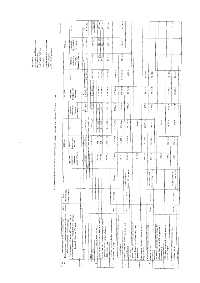
Постановление Правительства Тверской области от 30.04.2021 № 269-пп
"О внесении изменений в постановление Правительства Тверской области от 28.12.2020 № 691-пп"
Номер опубликования: 6900202105040009
Дата опубликования: 04.05.2021
Страница №2 из 13:
Увеличить