Официальное опубликование правовых актов
ОФИЦИАЛЬНОЕ ОПУБЛИКОВАНИЕ
Постановление Правительства Тверской области от 23.04.2021 № 252-пп
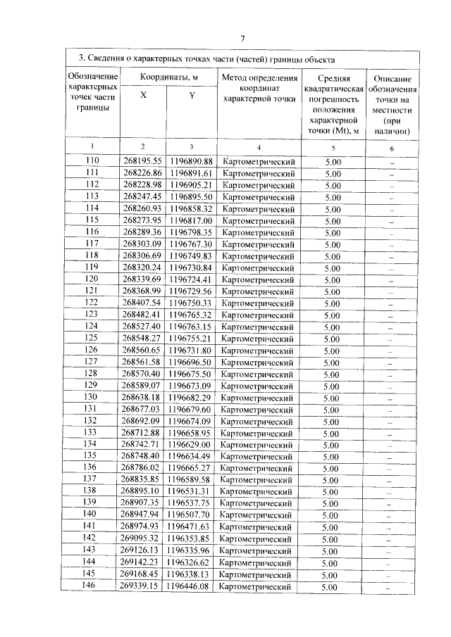
"Об утверждении графического описания местоположения границ особо охраняемой природной территории регионального значения – государственного природного заказника "Болото Стреженское"
Номер опубликования: 6900202104260013
Дата опубликования: 26.04.2021
Страница №7 из 13:
Увеличить