Официальное опубликование правовых актов
ОФИЦИАЛЬНОЕ ОПУБЛИКОВАНИЕ
Постановление Правительства Тверской области от 04.03.2021 № 98-пп
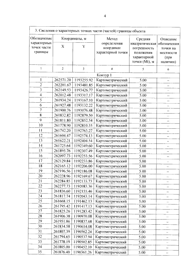
"Об утверждении графического описания местоположения границ особо охраняемой природной территории регионального значения – государственного природного заказника "Болота вдоль реки Оки"
Номер опубликования: 6900202103090031
Дата опубликования: 09.03.2021
Страница №4 из 11:
Увеличить