Официальное опубликование правовых актов
ОФИЦИАЛЬНОЕ ОПУБЛИКОВАНИЕ
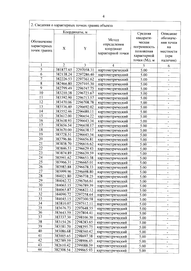
Постановление Правительства Тверской области от 27.10.2020 № 480-пп
"Об утверждении графического описания местоположения границ особо охраняемой природной территории регионального значения – государственного природного заказника "Устепни"
Номер опубликования: 6900202010280018
Дата опубликования: 28.10.2020
Страница №4 из 8:
Увеличить