Официальное опубликование правовых актов
ОФИЦИАЛЬНОЕ ОПУБЛИКОВАНИЕ
Постановление Правительства Тверской области от 14.09.2020 № 421-пп
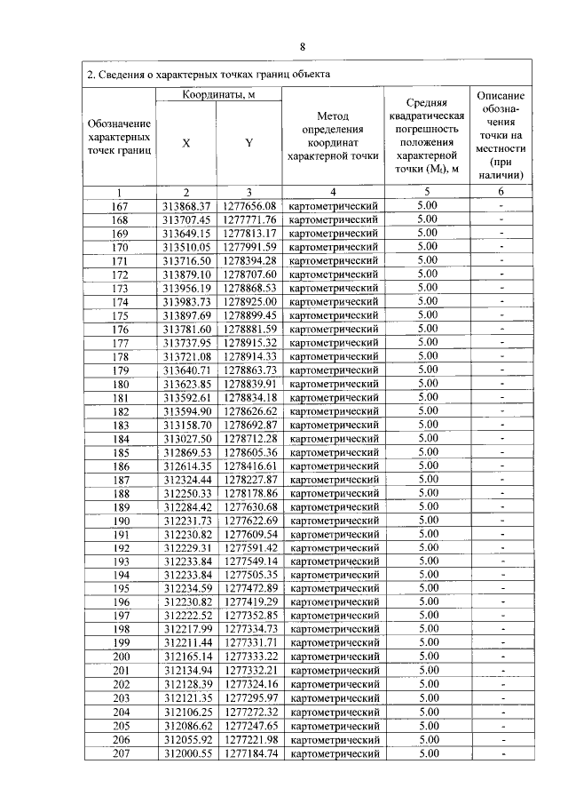
"Об утверждении графического описания местоположения границ особо охраняемой природной территории регионального значения – государственного природного заказника "Болото Давыдовское"
Номер опубликования: 6900202009150015
Дата опубликования: 15.09.2020
Страница №8 из 13:
Увеличить