Официальное опубликование правовых актов
ОФИЦИАЛЬНОЕ ОПУБЛИКОВАНИЕ
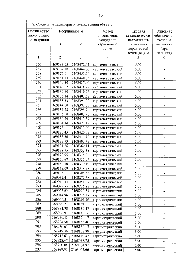
Постановление Правительства Тверской области от 14.09.2020 № 418-пп
"Об утверждении графического описания местоположения границ особо охраняемой природной территории регионального значения – государственного природного заказника "Болото Дедово"
Номер опубликования: 6900202009150013
Дата опубликования: 15.09.2020
Страница №10 из 14:
Увеличить