Официальное опубликование правовых актов
ОФИЦИАЛЬНОЕ ОПУБЛИКОВАНИЕ
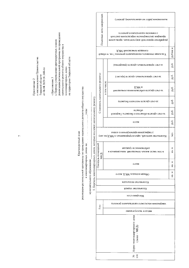
Постановление Правительства Тверской области от 06.08.2020 № 348-пп
"О внесении изменений в постановление Правительства Тверской области от 24.03.2015 № 125-пп"
Номер опубликования: 6900202008060002
Дата опубликования: 06.08.2020
Страница №7 из 9:
Увеличить