Официальное опубликование правовых актов
ОФИЦИАЛЬНОЕ ОПУБЛИКОВАНИЕ
Постановление Правительства Тверской области от 27.07.2020 № 338-пп
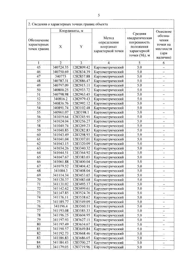
"Об утверждении графического описания местоположения границ особо охраняемой природной территории регионального значения – государственного природного заказника "Муравьиный заказник Полновский"
Номер опубликования: 6900202007280006
Дата опубликования: 28.07.2020
Страница №5 из 10:
Увеличить