Официальное опубликование правовых актов
ОФИЦИАЛЬНОЕ ОПУБЛИКОВАНИЕ
Постановление Правительства Тверской области от 13.07.2020 № 314-пп
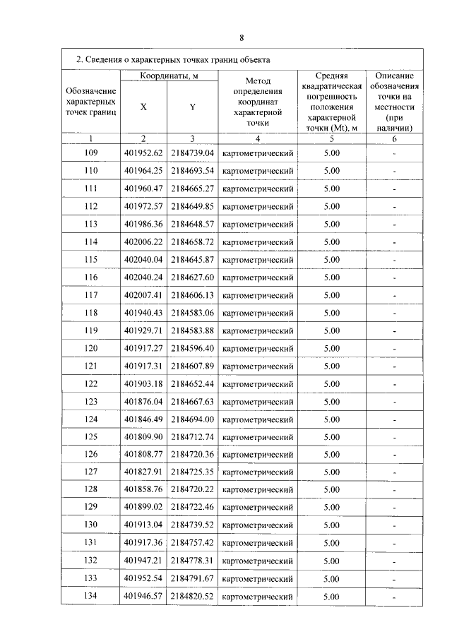
"Об утверждении графического описания местоположения границ особо охраняемой природной территории регионального значения - государственного природного заказника "Болото Иванковское"
Номер опубликования: 6900202007140013
Дата опубликования: 14.07.2020
Страница №8 из 11:
Увеличить