Официальное опубликование правовых актов
ОФИЦИАЛЬНОЕ ОПУБЛИКОВАНИЕ
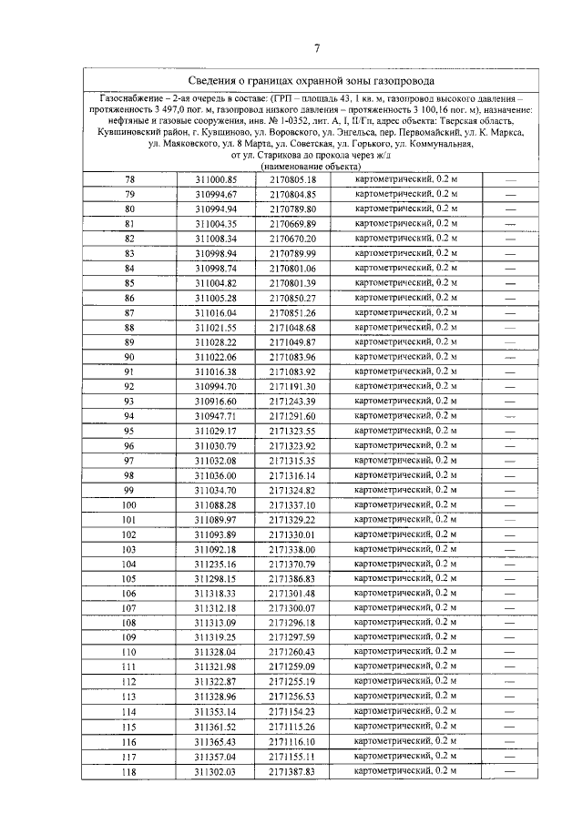
Постановление Правительства Тверской области от 10.04.2020 № 175-пп
"Об установлении охранной зоны газопровода"
Номер опубликования: 6900202004130032
Дата опубликования: 13.04.2020
Страница №7 из 25:
Увеличить