Официальное опубликование правовых актов
ОФИЦИАЛЬНОЕ ОПУБЛИКОВАНИЕ
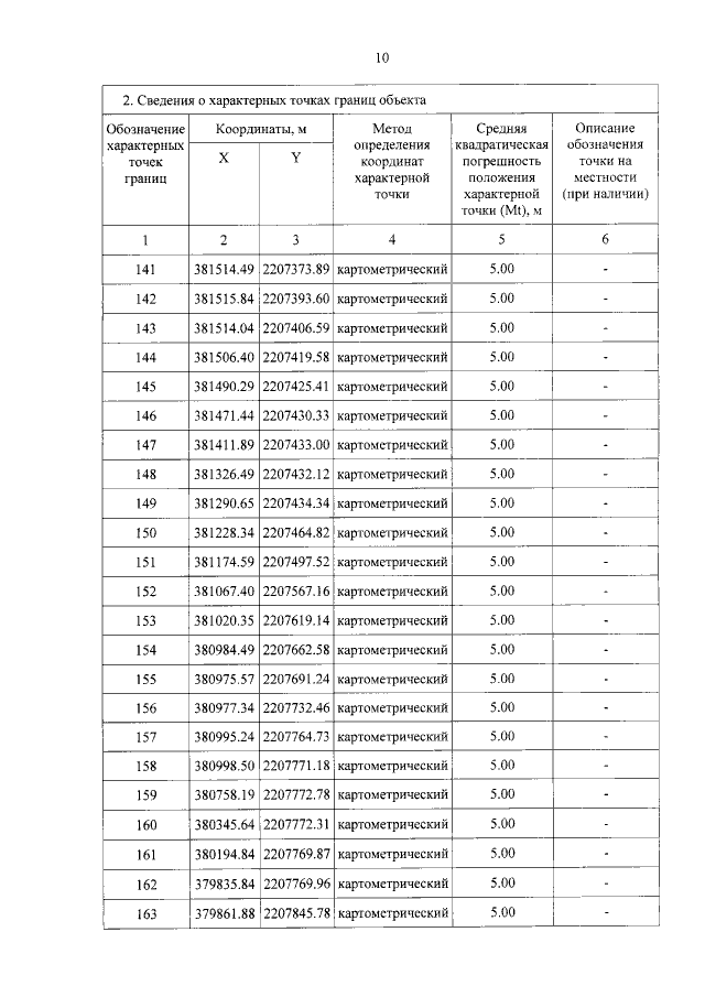
Постановление Правительства Тверской области от 10.04.2020 № 166-пп
"Об утверждении графического описания местоположения границ особо охраняемой природной территории регионального значения - памятника природы "Лесные массивы у озер Мец и Пучино"
Номер опубликования: 6900202004130030
Дата опубликования: 13.04.2020
Страница №10 из 17:
Увеличить