Официальное опубликование правовых актов
ОФИЦИАЛЬНОЕ ОПУБЛИКОВАНИЕ
Постановление Правительства Тверской области от 10.04.2020 № 165-пп
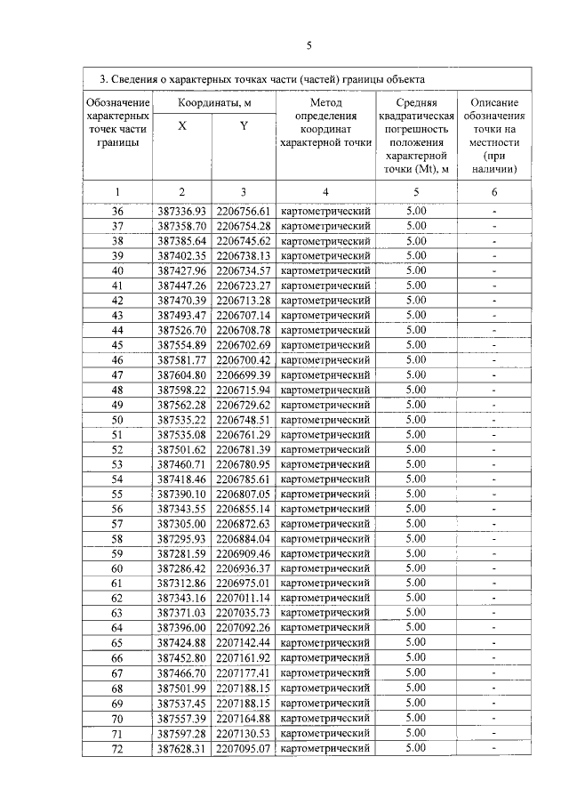
"Об утверждении графического описания местоположения границ особо охраняемой природной территории регионального значения - памятника природы "Лесные массивы у оз. Волковское"
Номер опубликования: 6900202004130022
Дата опубликования: 13.04.2020
Страница №5 из 10:
Увеличить