Официальное опубликование правовых актов
ОФИЦИАЛЬНОЕ ОПУБЛИКОВАНИЕ
Постановление Правительства Тверской области от 10.04.2020 № 170-пп
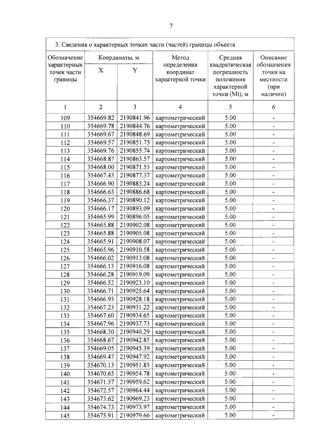
"Об утверждении графического описания местоположения границ особо охраняемой природной территории регионального значения - государственного природного заказника "Болото Заборовское Федово-Шитовское"
Номер опубликования: 6900202004130020
Дата опубликования: 13.04.2020
Страница №7 из 25:
Увеличить