Официальное опубликование правовых актов
ОФИЦИАЛЬНОЕ ОПУБЛИКОВАНИЕ
Постановление Правительства Тверской области от 01.04.2020 № 141-пп
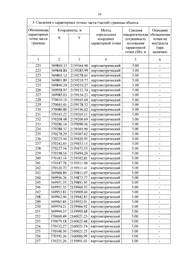
"Об утверждении графического описания местоположения границ особо охраняемой природной территории регионального значения — государственного природного заказника "Болото Лебединец, включая болота Глуховское, Волчьи ручьи, Дьяковское, Медковское"
Номер опубликования: 6900202004030002
Дата опубликования: 03.04.2020
Страница №10 из 21:
Увеличить