Официальное опубликование правовых актов
ОФИЦИАЛЬНОЕ ОПУБЛИКОВАНИЕ
Постановление Правительства Тверской области от 12.02.2020 № 52-пп
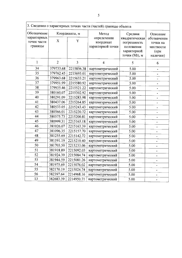
"Об утверждении графического описания местоположения границ особо охраняемой природной территории регионального значения — государственного природного заказника "Лесные массивы у оз. Городня"
Номер опубликования: 6900202002140021
Дата опубликования: 14.02.2020
Страница №5 из 7:
Увеличить