Официальное опубликование правовых актов
ОФИЦИАЛЬНОЕ ОПУБЛИКОВАНИЕ
Постановление Правительства Тверской области от 12.02.2020 № 51-пп
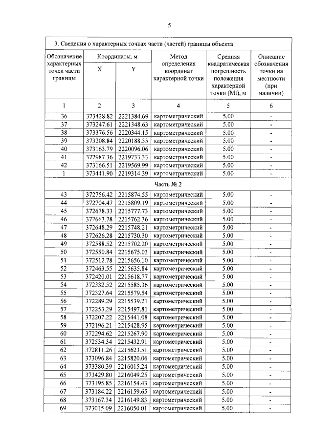
"Об утверждении графического описания местоположения границ особо охраняемой природной территории регионального значения — государственного природного заказника "Болото Сандилово, включая Луженское, Русскогорное"
Номер опубликования: 6900202002140019
Дата опубликования: 14.02.2020
Страница №5 из 16:
Увеличить