Официальное опубликование правовых актов
ОФИЦИАЛЬНОЕ ОПУБЛИКОВАНИЕ
Постановление Правительства Тверской области от 24.12.2019 № 544-пп
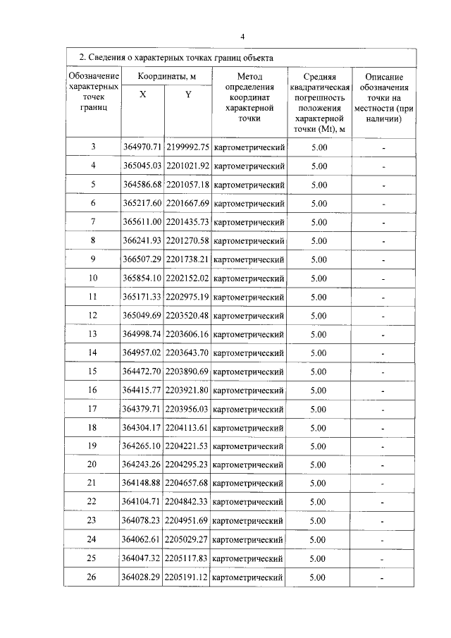
"Об утверждении графического описания местоположения границ особо охраняемой природной территории регионального значения — государственного природного заказника "Болото Афимьино"
Номер опубликования: 6900201912310021
Дата опубликования: 31.12.2019
Страница №4 из 8:
Увеличить