Официальное опубликование правовых актов
ОФИЦИАЛЬНОЕ ОПУБЛИКОВАНИЕ
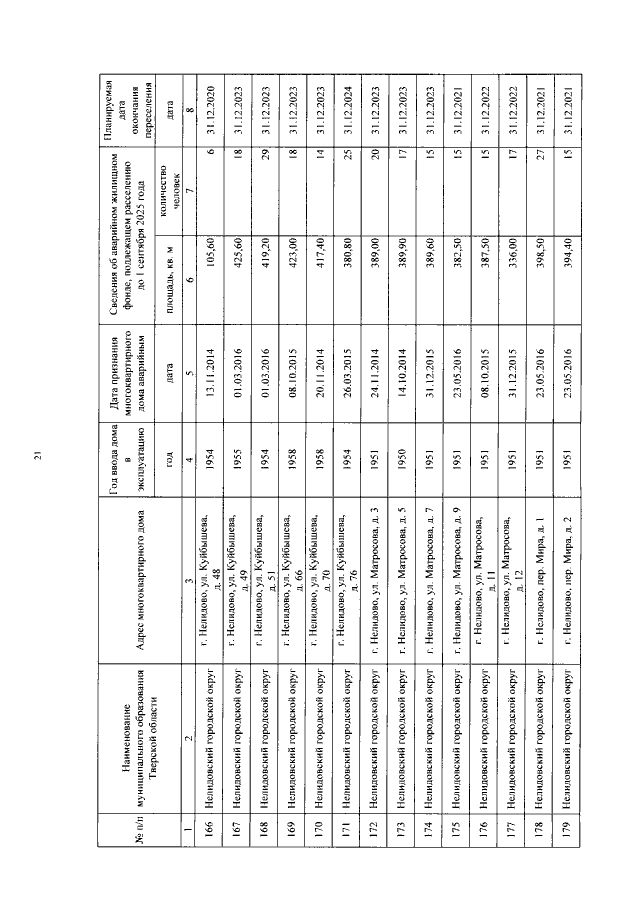
Постановление Правительства Тверской области от 15.11.2019 № 454-пп
"О внесении изменений в постановление Правительства Тверской области от 10.04.2019 № 108-пп"
Номер опубликования: 6900201911180001
Дата опубликования: 18.11.2019
Страница №21 из 42:
Увеличить