Официальное опубликование правовых актов
ОФИЦИАЛЬНОЕ ОПУБЛИКОВАНИЕ
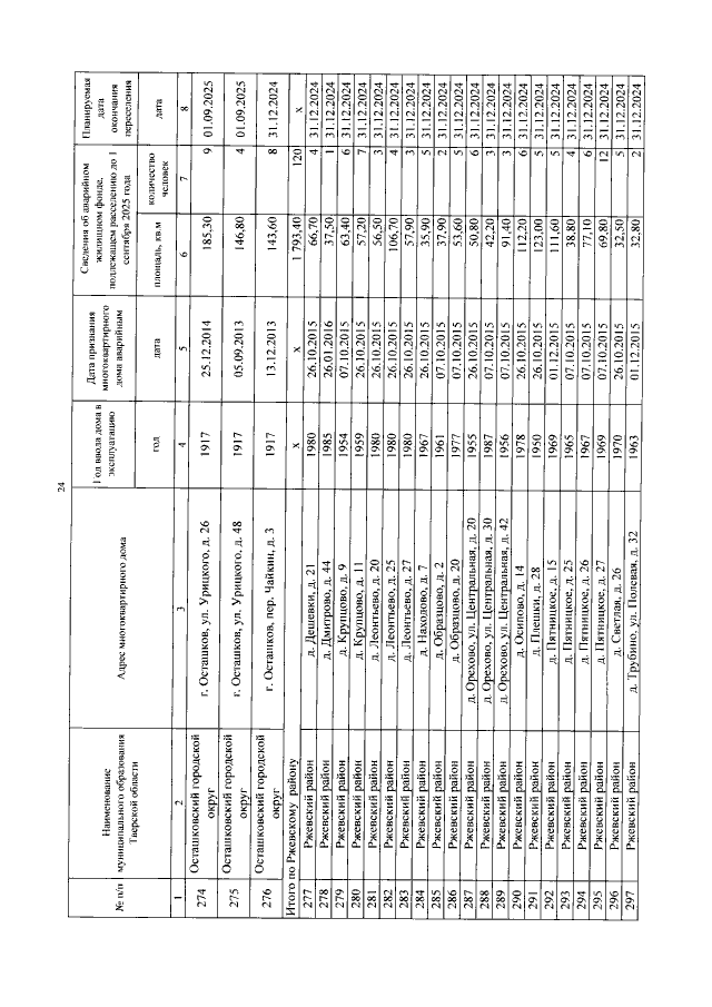
Постановление Правительства Тверской области от 11.06.2019 № 250-пп
"О внесении изменений в постановление Правительства Тверской области от 10.04.2019 № 108-пп"
Номер опубликования: 6900201906130001
Дата опубликования: 13.06.2019
Страница №24 из 36:
Увеличить