Официальное опубликование правовых актов
ОФИЦИАЛЬНОЕ ОПУБЛИКОВАНИЕ
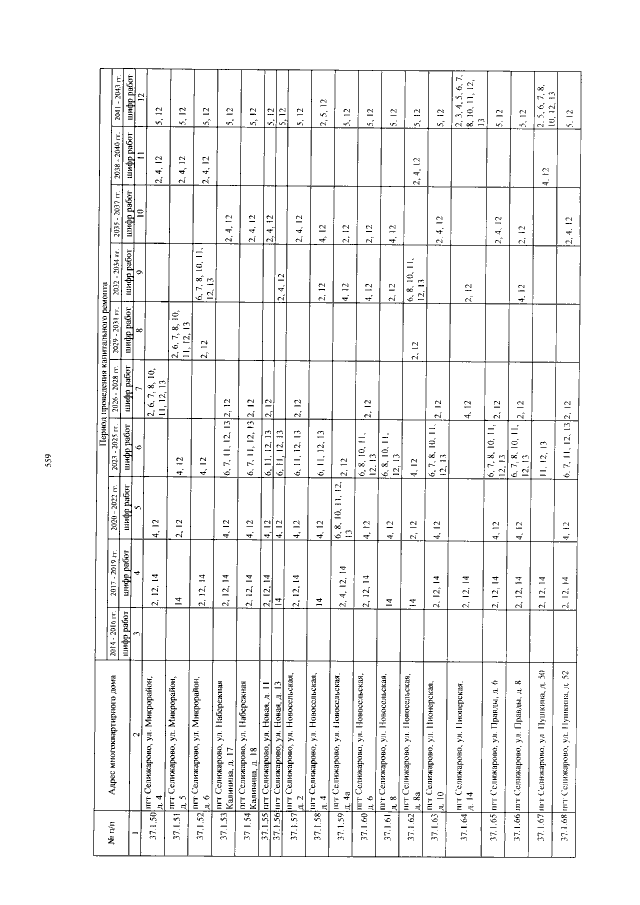
Постановление Правительства Тверской области от 05.03.2019 № 70-пп
"О внесении изменений в постановление Правительства Тверской области от 24.12.2013 № 690-пп"
Номер опубликования: 6900201903060003
Дата опубликования: 06.03.2019
Страница №559 из 601:
Увеличить