Официальное опубликование правовых актов
ОФИЦИАЛЬНОЕ ОПУБЛИКОВАНИЕ
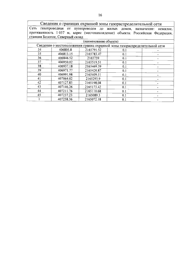
Постановление Правительства Тверской области от 05.06.2018 № 179-пп
"Об установлении охранных зон газораспределительных сетей"
Номер опубликования: 6900201806060009
Дата опубликования: 06.06.2018
Страница №16 из 37:
Увеличить