Официальное опубликование правовых актов
ОФИЦИАЛЬНОЕ ОПУБЛИКОВАНИЕ
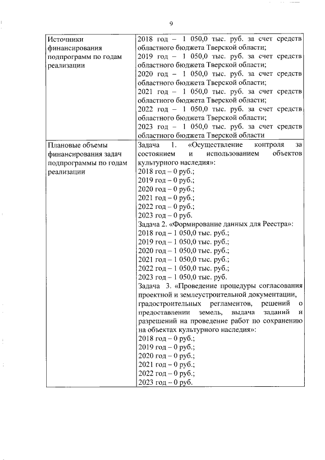
Постановление Правительства Тверской области от 29.12.2017 № 466-пп
"О государственной программе Тверской области "Сохранение, популяризация и государственная охрана культурного наследия Тверской области" на 2018 – 2023 годы"
Номер опубликования: 6900201712310015
Дата опубликования: 31.12.2017
Страница №9 из 47:
Увеличить