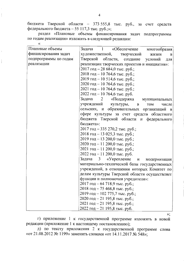
Постановление Правительства Тверской области от 05.12.2017 № 401-пп
"О внесении изменений в постановление Правительства Тверской области от 30.12.2016 № 457-пп"
"О внесении изменений в постановление Правительства Тверской области от 30.12.2016 № 457-пп"
Номер опубликования: 6900201712060004
Дата опубликования:
06.12.2017
