Официальное опубликование правовых актов
ОФИЦИАЛЬНОЕ ОПУБЛИКОВАНИЕ
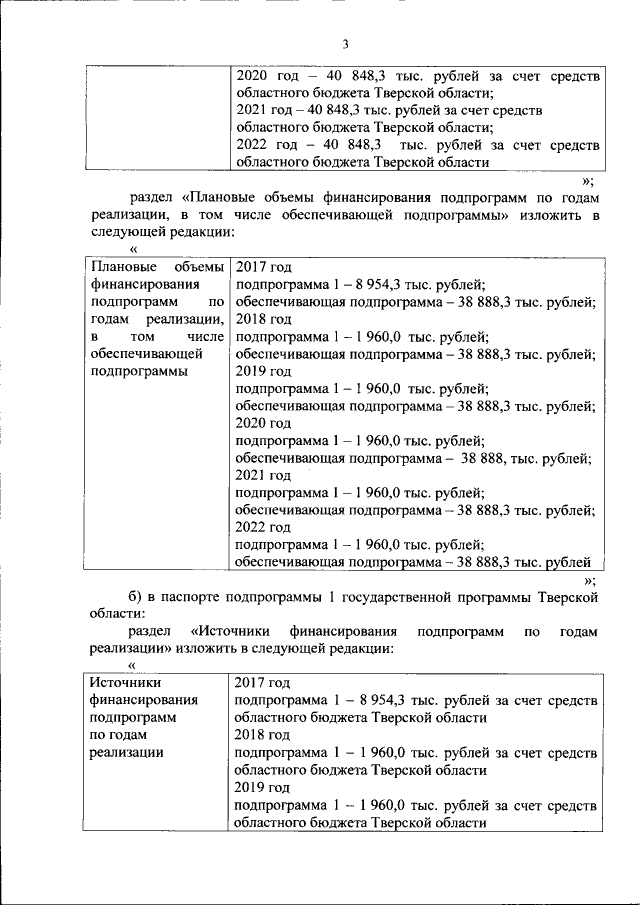
Постановление Правительства Тверской области от 06.05.2017 № 132-пп
"О внесении изменений в постановление Правительства Тверской области от 30.12.2016 № 459-пп"
Номер опубликования: 6900201705110011
Дата опубликования: 11.05.2017
Страница №3 из 29:
Увеличить