Официальное опубликование правовых актов
ОФИЦИАЛЬНОЕ ОПУБЛИКОВАНИЕ
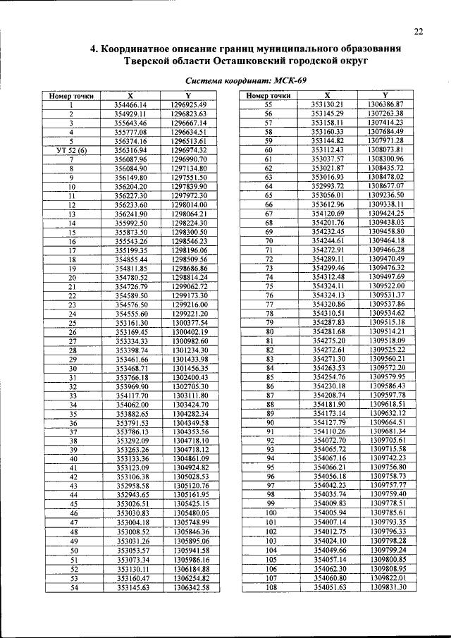
Закон Тверской области от 17.04.2017 № 27-ЗО
"О преобразовании муниципальных образований, входящих в состав территории муниципального образования Тверской области "Осташковский район", путем объединения поселений и создании вновь образованного городского поселения с наделением его статусом городского округа и внесении изменений в отдельные законы Тверской области"
Номер опубликования: 6900201704170007
Дата опубликования: 17.04.2017
Страница №36 из 81:
Увеличить