Официальное опубликование правовых актов
ОФИЦИАЛЬНОЕ ОПУБЛИКОВАНИЕ
Постановление Правительства Тверской области от 08.04.2015 № 158-пп
"Об утверждении границ зон охраны и режимов использования земель и градостроительных регламентов объекта культурного наследия регионального значения "Комплекс жилой застройки по улице Радищева, кон. XVIII - нач. XIX вв." ("Дом жилой, 1-ая пол. XIX в.") по адресу: город Тверь, бульвар Радищева, д. 39"
Номер опубликования: 6900201504130006
Дата опубликования: 13.04.2015
Страница №5 из 11:
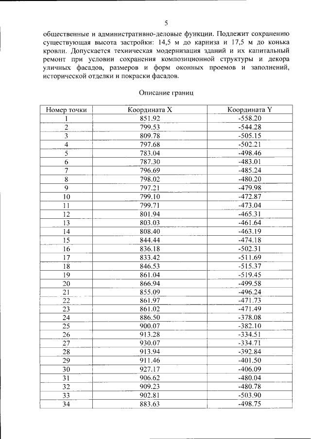
Увеличить