Официальное опубликование правовых актов
ОФИЦИАЛЬНОЕ ОПУБЛИКОВАНИЕ
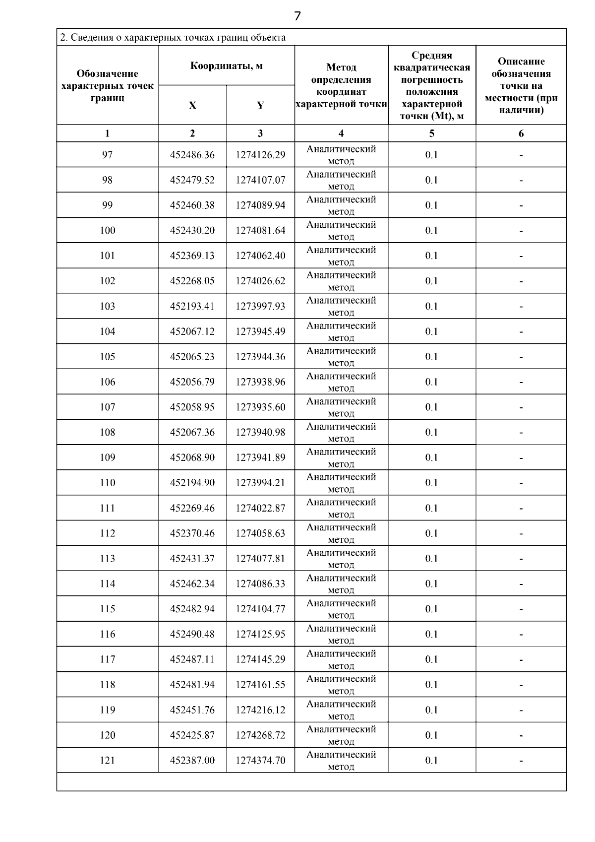
Приказ Министерства имущественных отношений и государственного заказа Тамбовской области от 10.12.2025 № 909
"Об установлении охранной зоны сети газораспределения и наложении ограничений (обременений) на входящие в нее земельные участки"
(Зарегистрирован 10.12.2025 № 909)
Номер опубликования: 6801202512170006
Дата опубликования: 17.12.2025
Страница №9 из 23:
Увеличить