Официальное опубликование правовых актов
ОФИЦИАЛЬНОЕ ОПУБЛИКОВАНИЕ
Приказ Министерства имущественных отношений и государственного заказа Тамбовской области от 16.10.2025 № 766
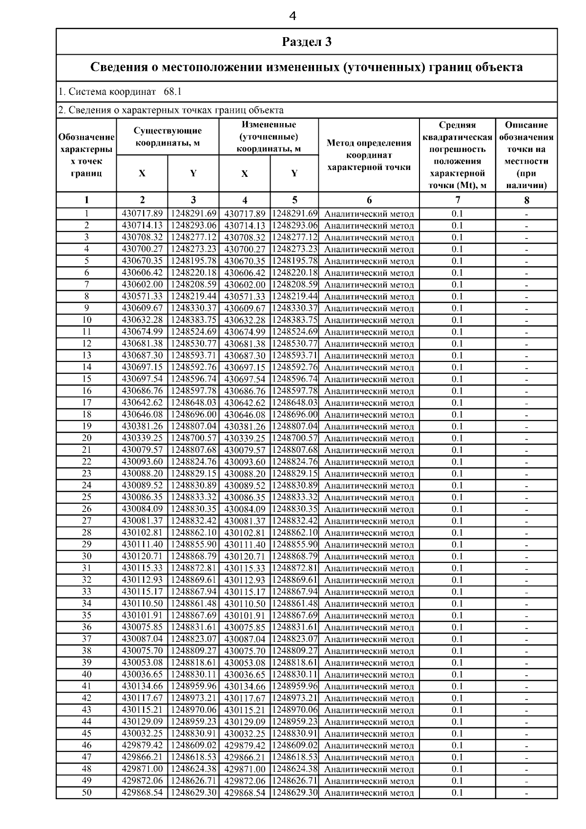
"О внесении изменений в приложение к приказу комитета по управлению имуществом Тамбовской области от 31.08.2021 № 633 "Об изменении охранной зоны сети газораспределения и наложении ограничений (обременений) на входящие в нее земельные участки"
(Зарегистрирован 16.10.2025 № 766)
Номер опубликования: 6801202510210003
Дата опубликования: 21.10.2025
Страница №6 из 133:
Увеличить