Официальное опубликование правовых актов
ОФИЦИАЛЬНОЕ ОПУБЛИКОВАНИЕ
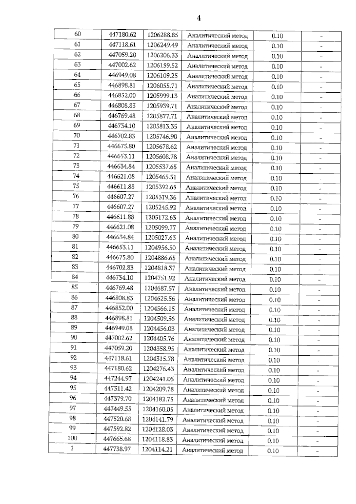
Приказ Министерства экологии и природных ресурсов Тамбовской области от 17.07.2025 № 169
"Об установлении границ и режима зон санитарной охраны действующего водозабора общества с ограниченной ответственностью "Русагро-Тамбов"
(Зарегистрирован 17.07.2025 № 169)
Номер опубликования: 6801202507180001
Дата опубликования: 18.07.2025
Страница №20 из 32:
Увеличить