Официальное опубликование правовых актов
ОФИЦИАЛЬНОЕ ОПУБЛИКОВАНИЕ
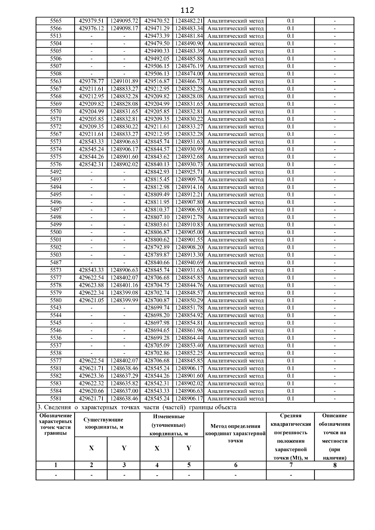
Приказ Министерства имущественных отношений и государственного заказа Тамбовской области от 19.06.2025 № 459
"О внесении изменений в приказ министерства имущественных отношений и государственного заказа Тамбовской области от 26.07.2023 № 376 "Об изменении охранной зоны сети газораспределения и наложении ограничений (обременений) на входящие в нее земельные участки"
(Зарегистрирован 19.06.2025 № 459)
Номер опубликования: 6801202506260002
Дата опубликования: 26.06.2025
Страница №114 из 114:
Увеличить