Официальное опубликование правовых актов
ОФИЦИАЛЬНОЕ ОПУБЛИКОВАНИЕ
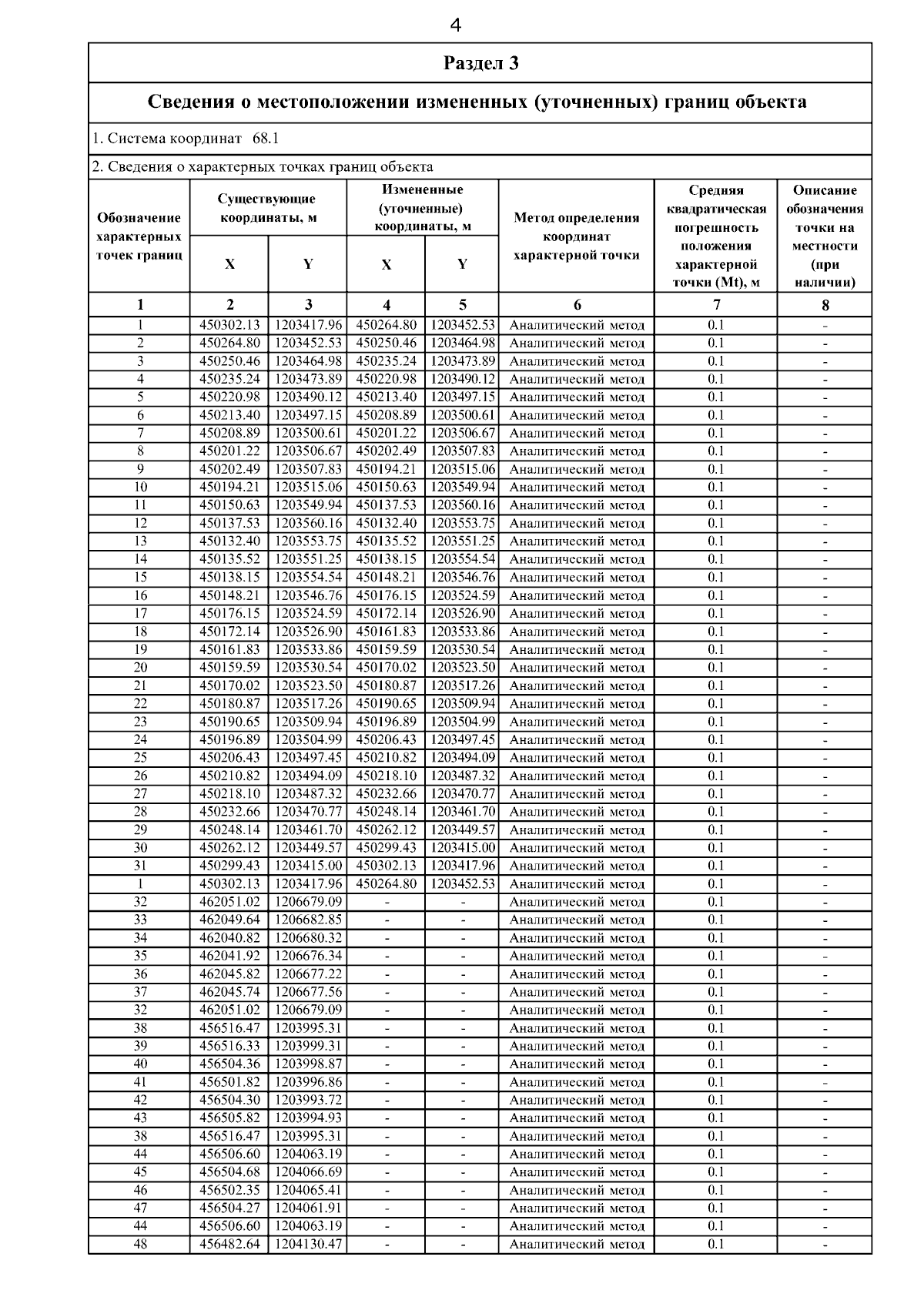
Приказ Министерства имущественных отношений и государственного заказа Тамбовской области от 28.05.2025 № 373
"О внесении изменений в приказ министерства имущественных отношений и государственного заказа Тамбовской области от 23.04.2024 № 234 "Об установлении охранных зон сетей газораспределения и наложении ограничений (обременений) на входящие в них земельные участки"
(Зарегистрирован 28.05.2025 № 373)
Номер опубликования: 6801202506030001
Дата опубликования: 03.06.2025
Страница №6 из 20:
Увеличить