Официальное опубликование правовых актов
ОФИЦИАЛЬНОЕ ОПУБЛИКОВАНИЕ
Приказ Министерства имущественных отношений и государственного заказа Тамбовской области от 22.05.2025 № 355
"О внесении изменений в приказ комитета по управлению имуществом Тамбовской области от 31.08.2021 № 634 "Об изменении охранной зоны сети газораспределения и наложении ограничений (обременений) на входящие в нее земельные участки"
(Зарегистрирован 22.05.2025 № 355)
Номер опубликования: 6801202505290005
Дата опубликования: 29.05.2025
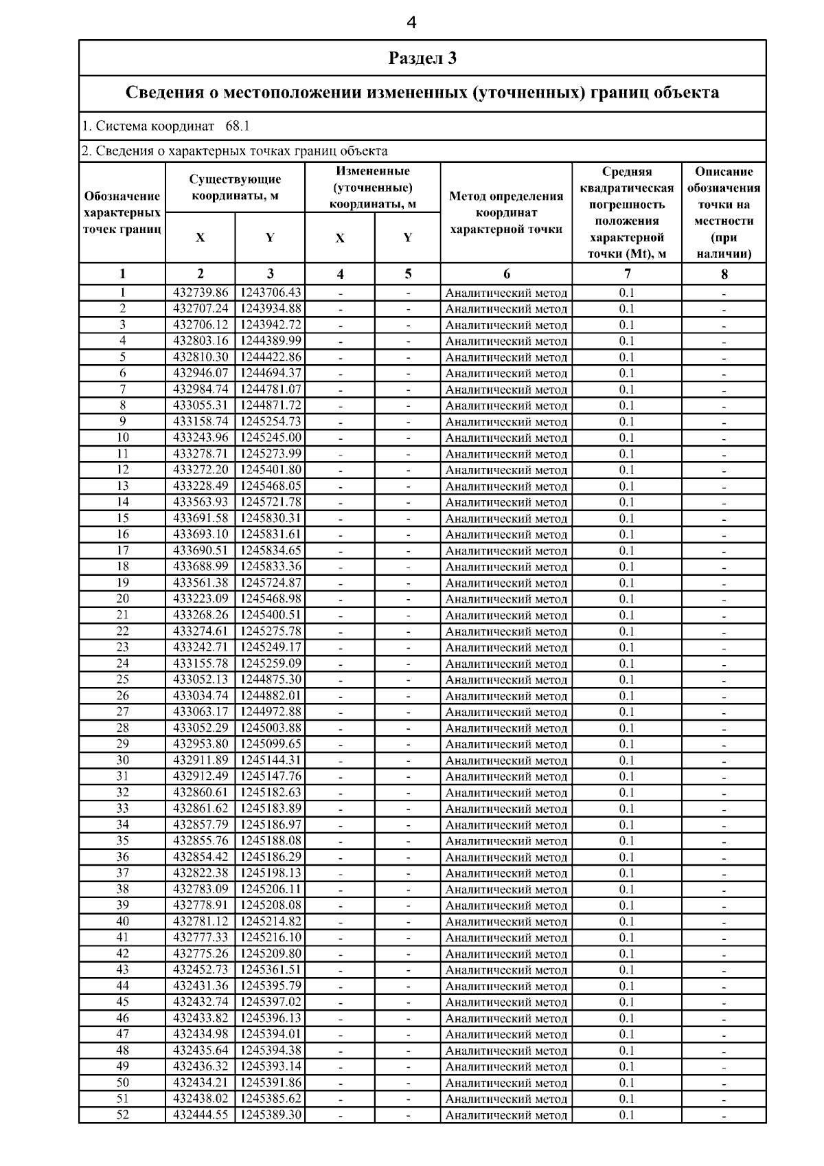
Страница №6 из 266:
Увеличить