Официальное опубликование правовых актов
ОФИЦИАЛЬНОЕ ОПУБЛИКОВАНИЕ
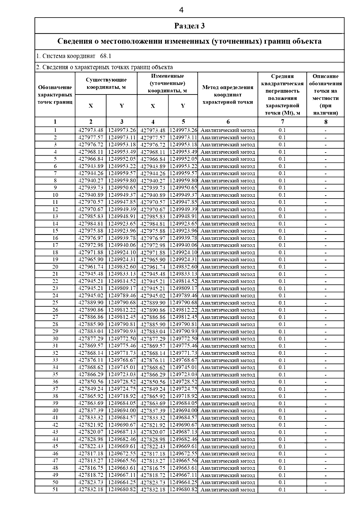
Приказ Министерства имущественных отношений и государственного заказа Тамбовской области от 25.03.2025 № 203
"О внесении изменений в приказ комитета по управлению имуществом Тамбовской области от 07.07.2021 № 494 "Об изменении охранной зоны сети газораспределения и наложении ограничений (обременений) на входящие в нее земельные участки"
(Зарегистрирован 25.03.2025 № 203)
Номер опубликования: 6801202503280003
Дата опубликования: 28.03.2025
Страница №6 из 129:
Увеличить