Приказ Министерства имущественных отношений и государственного заказа Тамбовской области от 12.03.2025 № 156
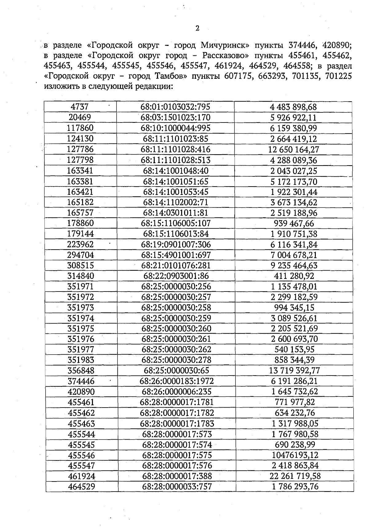
"О внесении изменений в приложение к приказу комитета по управлению имуществом Тамбовской области от 17.11.2020 № 667 "Об утверждении результатов определения кадастровой стоимости объектов недвижимости (за исключением земельных участков), расположенных на территории Тамбовской области"
(Зарегистрирован 12.03.2025 № 156)
"О внесении изменений в приложение к приказу комитета по управлению имуществом Тамбовской области от 17.11.2020 № 667 "Об утверждении результатов определения кадастровой стоимости объектов недвижимости (за исключением земельных участков), расположенных на территории Тамбовской области"
(Зарегистрирован 12.03.2025 № 156)
Номер опубликования: 6801202503140009
Дата опубликования:
14.03.2025
