Официальное опубликование правовых актов
ОФИЦИАЛЬНОЕ ОПУБЛИКОВАНИЕ
Приказ Министерства имущественных отношений и государственного заказа Тамбовской области от 03.03.2025 № 114
"О внесении изменений в приказ министерства имущественных отношений и государственного заказа Тамбовской области от 26.01.2024 № 24 "Об изменении охранной зоны сети газораспределения и наложении ограничений (обременений) на входящие в нее земельные участки"
(Зарегистрирован 03.03.2025 № 114)
Номер опубликования: 6801202503110004
Дата опубликования: 11.03.2025
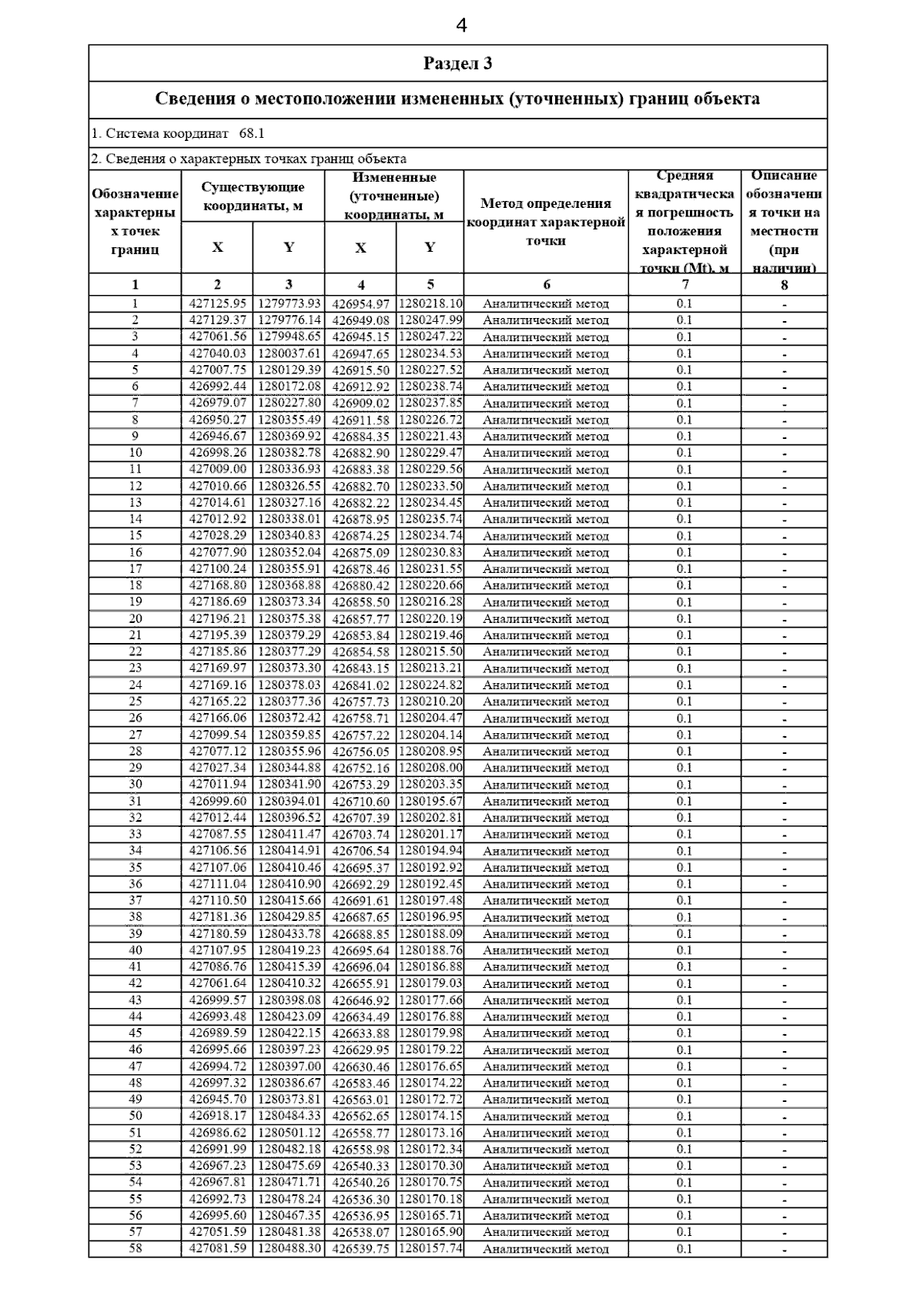
Страница №6 из 86:
Увеличить