Официальное опубликование правовых актов
ОФИЦИАЛЬНОЕ ОПУБЛИКОВАНИЕ
Приказ Министерства имущественных отношений и государственного заказа Тамбовской области от 21.02.2025 № 93
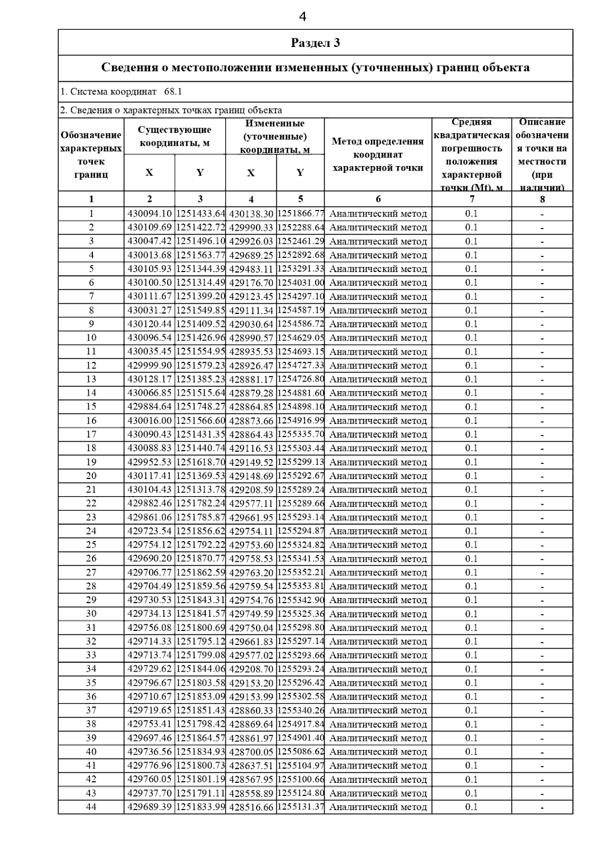
"О внесении изменений в приказ комитета по управлению имуществом Тамбовской области от 06.12.2021 № 819 "Об изменении охранной зоны сети газораспределения и наложении ограничений (обременений) на входящие в нее земельные участки"
(Зарегистрирован 21.02.2025 № 93)
Номер опубликования: 6801202502280004
Дата опубликования: 28.02.2025
Страница №6 из 27:
Увеличить